来源:足踝一昇

引言
同时合并下胫腓联合损伤和三角韧带断裂的急性踝关节骨折属于严重不稳定骨折,多为Weber C型,部分为Weber B型,需手术治疗。传统治疗方法为通过外侧或后外侧入路,对腓骨骨折进行解剖复位并固定,随后采用螺钉或纽扣钢板系统稳定下胫腓联合,其中下胫腓螺钉固定是首选方法。然而,下胫腓螺钉固定存在诸多缺点,如复位不良、螺钉断裂等。此外,关于三角韧带的直接修复也存在争议。既往研究表明,无需直接修复三角韧带,依靠其间接愈合即可获得良好的临床效果。近期一项荟萃分析显示,三角韧带修复与保守治疗或下胫腓联合固定的功能结局相当。
三角韧带被认为是踝关节的主要稳定结构,分为两个不同层次:浅层主要对抗外翻不稳定,深层主要对抗外旋不稳定。此外,在下胫腓联合损伤时,三角韧带有助于维持踝穴稳定性。尸体研究表明,单纯前下胫腓韧带和骨间韧带断裂不会导致冠状面不稳定,但合并三角韧带断裂时,即使后下胫腓韧带完整,也会出现踝关节不稳定。首都医科大学附属积水潭医院的李庭教授团队提出假设:通过牢固修复三角韧带稳定内侧柱,可替代下胫腓联合固定,从而提供足够的初始稳定性以维持踝关节正常对合关系,而下胫腓联合可通过间接方式愈合。该团队提出的三角韧带强化术(Deltoid Ligament Augmentation,DLA)联合三角韧带浅层修复的方法替代下胫腓联合固定治疗踝关节骨折取得了满意的临床结局并发表在近期Injury期刊上。本公众号对其研究进行整理并与同道分享学习。
手术技术
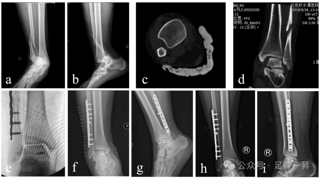
手术均在止血带下仰卧位进行。首先,通过外侧入路,按照标准AO原则,暴露腓骨骨折并进行解剖复位,采用合适长度的锁定钢板固定。随后进行外旋应力试验和拉钩试验,证实三角韧带和下胫腓联合不稳定。若应力试验显示踝关节内侧间隙≥5mm且下胫腓间隙增宽>2mm,则将患者纳入研究。
在内踝中央做一弧形切口,通常可看到破裂的三角韧带浅层,偶见其嵌入内踝骨折间隙。随后,将胫后肌腱向后牵开,踝关节外翻,暴露三角韧带深层。在距骨体内侧三角韧带深层止点中心,平行于距骨穹窿植入1枚2.5mm导针,随后植入5.0mm缝合锚钉。接着,使用1.5mm克氏针,沿三角韧带止点方向,在内踝钻2个斜孔(1个位于丘间沟水平,1个位于后丘)。将与锚钉相连的4根缝线通过这2个孔引出,每个孔2根缝线。最后,将踝关节置于矢状面90°、内翻位,将缝线固定于踝关节内侧胫骨皮质。重复外旋应力试验,检查踝穴完整性及稳定性,最后直接缝合三角韧带浅层。




两组患者术后均采用短腿石膏固定4周,随后允许部分负重及踝关节主动和被动活动度(ROM)训练。完全负重根据患者耐受情况逐步进行。但下胫腓联合固定组患者被告知,在未取出螺钉的情况下负重可能导致螺钉断裂。尽管螺钉断裂很少引起不适,但所有患者均选择在术后10-12周取出螺钉后再开始负重。所有患者在术后1、3、6、12个月定期随访,评估其临床结局、影像学表现及并发症情况。
结论
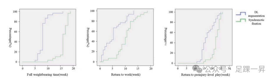
三角韧带强化术(DLA)可替代下胫腓联合螺钉固定,用于治疗合并三角韧带断裂和下胫腓联合分离的踝关节骨折。与下胫腓螺钉相比,DLA治疗术后1年可获得相当的临床和影像学结局,且术后早期恢复更快,同时可避免因取出下胫腓联合螺钉而进行的二次手术。